Towing Requirements – Trailer Lights And Wiring
Whenever you pull a trailer, regardless of the trailer size, stop lights and turn signals on the trailer are required for motoring safety.
The Trailer Tow Package may include a four-pin or a seven-pin wiring harness. Use a factory approved trailer harness and connector.
NOTE:
Do not cut or splice wiring into the vehicles
wiring harness.
The electrical connections are all complete to the vehicle but you must mate the harness to a trailer connector.
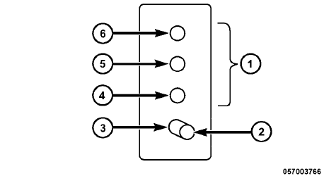
Refer to the following four-pin connector and seven-pin connector illustrations.

Four-Pin Connector
1 — Female Pins
4 — Park
2 — Male Pin
5 — Left Stop/Turn
3 — Ground
6 — Right Stop/Turn

Seven-Pin Connector
1 — Battery
2 — Backup Lamps
3 — Right Stop/Turn
4 — Electric Brakes
5 — Ground
6 — Left Stop/Turn
7 — Running Lamps
See also:
Connect Or Disconnect Link Between The Uconnect™ Phone And Mobile Phone
Your mobile phone can be paired with many different
electronic devices, but can only be actively “connected”
with one electronic device at a time.
If you would like to connect or disconnect t ...
Vehicle Modifications/Alterations
WARNING!
Any modifications or alterations to this vehicle could
seriously affect its roadworthiness and safety and
may lead to a accident resulting in serious injury or
death. ...
Towing Requirements – Tires
• Do not attempt to tow a trailer while using a compact
spare tire.
• Proper tire inflation pressures are essential to the safe
and satisfactory operation of your vehicle. Refer to
“Tires ...
