Towing Requirements – Trailer Lights And Wiring
Whenever you pull a trailer, regardless of the trailer size, stoplights and turn signals on the trailer are required for motoring safety.
The Trailer Tow Package may include a four and sevenpin wiring harness. Use a factory approved trailer harness and connector.
NOTE:
Do not cut or splice wiring into the vehicles
wiring harness.
The wiring harness is not installed when leaving the factory; it must be done by the dealer or customer. Refer to the following illustrations.

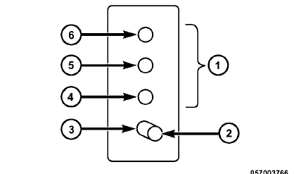
Four-Pin Connector
1 — Female Pins
2 — Male Pin
3 — Ground
4 — Park
5 — Left Stop/Turn
6 — Right Stop/Turn

Seven-Pin Connector
1 — Battery
2 — Backup Lamps
3 — Right Stop/Turn
4 — Electric Brakes
5 — Ground
6 — Left Stop/Turn
7 — Running Lamps
See also:
Smoker’s Package Kit — If Equipped
With the optional authorized dealer-installed Smoker’s
Package Kit, a removable ash receiver is inserted into one
of the two cupholders in the center front instrument
panel. To install the ash ...
Blind Spot Monitoring — If Equipped
The Blind Spot Monitoring (BSM) system uses two radarbased
sensors, located inside the rear bumper fascia, to
detect highway licensable vehicles (automobiles, trucks,
motorcycles, etc.) that ent ...
Supplemental Active Head Restraints (AHR) — If Equipped
These head restraints are passive, deployable components,
and vehicles with this equipment cannot be readily
identified by any markings, only through visual inspection
of the head restraint. The ...
