Towing Requirements – Trailer Lights And Wiring
Whenever you pull a trailer, regardless of the trailer size, stop lights and turn signals on the trailer are required for motoring safety.
The Trailer Tow Package may include a four-pin or a seven-pin wiring harness. Use a factory approved trailer harness and connector.
NOTE:
Do not cut or splice wiring into the vehicles
wiring harness.
The electrical connections are all complete to the vehicle but you must mate the harness to a trailer connector.
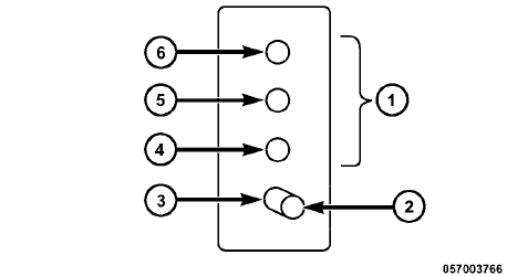
Refer to the following four-pin connector and seven-pin connector illustrations.

Four-Pin Connector
1 — Female Pins
4 — Park
2 — Male Pin
5 — Left Stop/Turn
3 — Ground
6 — Right Stop/Turn

Seven-Pin Connector
1 — Battery
2 — Backup Lamps
3 — Right Stop/Turn
4 — Electric Brakes
5 — Ground
6 — Left Stop/Turn
7 — Running Lamps
See also:
Tire Pressure Monitoring Low Tire Pressure Warnings
The “Tire Pressure Monitoring Telltale Light”
will illuminate in the instrument cluster, a
“LOW TIRE PRESSURE” message will display
in the instrument cluster, and an audible chime
...
Installing The LATCH-Compatible Child Restraint System
We urge you to follow the manufacturer’s directions
carefully when installing your child restraint. Not all
child restraint systems will be installed as described here.
Again, carefully follow ...
Using The Touch-Screen Radio Controls
1. Press the MENU hard-key on the radio faceplate.
2. Touch the Rear VES soft-key to display the Rear VES
Controls. If a channel list is displayed, press the HIDE
LIST soft-key to display the Rea ...
