Towing Requirements – Trailer Lights And Wiring
Whenever you pull a trailer, regardless of the trailer size, stoplights and turn signals on the trailer are required for motoring safety.
The Trailer Tow Package may include a four and sevenpin wiring harness. Use a factory approved trailer harness and connector.
NOTE:
Do not cut or splice wiring into the vehicles
wiring harness.
The wiring harness is not installed when leaving the factory; it must be done by the dealer or customer. Refer to the following illustrations.

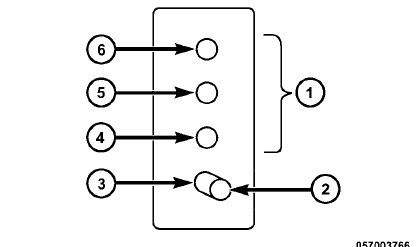
Four-Pin Connector
1 — Female Pins
2 — Male Pin
3 — Ground
4 — Park
5 — Left Stop/Turn
6 — Right Stop/Turn

Seven-Pin Connector
1 — Battery
2 — Backup Lamps
3 — Right Stop/Turn
4 — Electric Brakes
5 — Ground
6 — Left Stop/Turn
7 — Running Lamps
See also:
Remote Start Abort Message On Electronic Vehicle Information Center (EVIC) —
If Equipped
The following messages will display in the EVIC if the
vehicle fails to remote start or exits remote start prematurely:
• Remote Start Aborted — Door Ajar
• Remote Start Aborted — Hood Aja ...
Disposing Of Used Engine Oil And Oil Filters
Care should be taken in disposing of used engine oil and
oil filters from your vehicle. Used oil and oil filters,
indiscriminately discarded, can present a problem to the
environment. Contact yo ...
2011 Chrysler 300 Review by Kelsey Mays
The redesigned 2011 Chrysler 300 is not as distinctive as its predecessor,
and it misses its target in a few areas, but overall it's the best example yet
that Chrysler is back on track.
The full ...
